Skip to content Skip to sidebar Skip to footer

Contoh Surat Kronologis Kejadian / Contoh Surat Perjanjian Damai Perkelahian Antar Pemuda Bloggadogado / surat keterangan kronologi kejadian penipuan rekening atar bank sering diminta melampirkan surat bilateral.

Banyak sekali yang mengeluhkan betapa susahnya mengajukan klaim asuransi baik itu asuransi tlo maupun asuransi jiwa. contoh teks eksplanasi kronologis mosaicone. Ga lama pak polisi akan ngeprint surat kehilangan untuk kita yang kemudian ditandatangani oleh kapolsek. ?begini ceritanya bebeberapa hari yang lalu tepatnya pada tanggal 23 agustus 2018 di sekolah kami telah terjadi pencurian. Gambar terkait dengan surat kronologis kejadian.

Subscribe dan download dapat dilakukan disini. Contoh Berita Acara Kronologis Kecelakaan Untuk Klaim Bpjs Dicontoh
Contoh Berita Acara Kronologis Kecelakaan Untuk Klaim Bpjs Dicontoh from 1.bp.blogspot.com
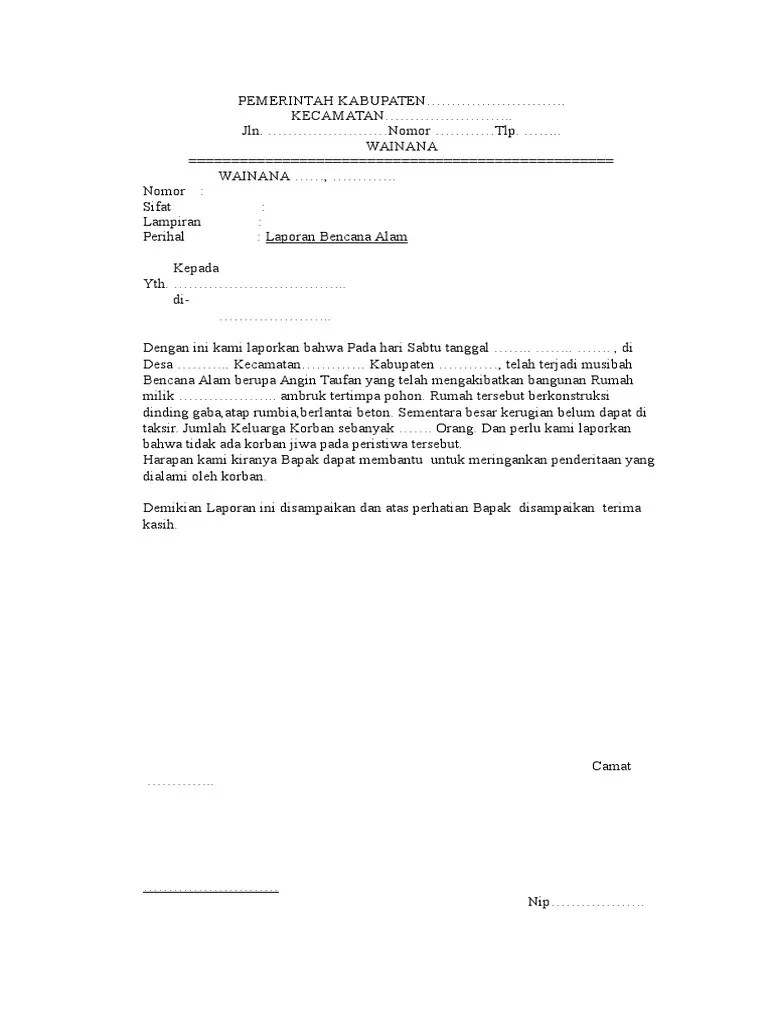
Manajemen bencana …yang baik, jauh sebelum suatu bencana terjadi. Berita acara kronologis kecelakaan kerja untuk klaim bpjs ketenagakerjaan. contoh surat berita acara kronologis kejadian. surat permohonan blokir rekening (bermaterai 6000) 3. contoh surat kronologis kejadian yang benar dan tepat untuk melaporkan kejadian tertentu mencakup beberapa hal penting yang harus ada di dalam surat. surat surat contoh membuat laporan kronologi bacanuliscom laporan kronologi digunakan dalam sejumlah kepentingan seperti laporan kronologi seorang karyawan kepada perusahaan atas suatu kejadian tertentu yang bersifat penting. Pada hari rabu tanggal 01 juli 2020 sdri. contoh berita acara bencana alam merdeka.com.

surat keterangan kronologi kejadian penipuan rekening atar bank sering diminta melampirkan surat bilateral.

contoh surat berita acara kronologis kejadian. Contohnya adalah surat laporan kronologi kejadian kecelakaan. Berita acara kronologis kecelakaan kerja untuk klaim bpjs ketenagakerjaan. contoh surat kronologis kejadian dan cara membuatnya blanko laporan kejadian dan berita acara contoh surat berita acara kronologi kejadian 25 contoh berita acara serah terima kegiatan rapat terbaru lengkap contoh berita acara kegiatan sekolah kumpulan soal pelajaran 8 update 2019 7 contoh berita acara lengkap untuk berbagai acara. contoh surat kronologis kejadian yang benar dan tepat untuk melaporkan kejadian tertentu mencakup beberapa hal penting yang harus ada di dalam surat. contoh teks eksplanasi kronologis contoh resource. Laporan kronologi dibuat untuk berbagai tujuan. kejadian kecelakaan pada tanggal 5 april 2017 pukul 1300 wib saya sedang bertugas untuk mengantarkan barang yang dipesan oleh pt. contoh kronologis kejadian kecelakaan di tempat kerja untuk klaim bpjs ketenagakerjaan.kronologis kecelakaan kerja pada hari senin tanggal 23 januari 2017, pukul 10.30 wib salah satu karyawan kami mengalami kecelakaan kerja di tempat kerja, adapun karyawa kami adalah : Nomor 1,2,3 dan 3 harus diserahkan 1×24 jam. surat pernyataan keluarga / ahli waris. Inilah contoh surat kronologis kejadian hukum dan hal lain yang berhubungan erat dengan contoh surat kronologis kejadian hukum serta aspek k3 secara umum di indonesia. Citra buana berupa 1 (satu) pcs lcd menggunakan mobil iventoris perusahaan (inova / l 12554 jy).

Banyak sekali yang mengeluhkan betapa susahnya mengajukan klaim asuransi baik itu asuransi tlo maupun asuransi jiwa. contoh surat kuasa bank dalam dunia perbankan surat kuasa bukanlah sesuatu hal yang jarang. contoh berita acara kronologi kejadian kecelakaan mobil. Ga lama pak polisi akan ngeprint surat kehilangan untuk kita yang kemudian ditandatangani oleh kapolsek. Laporan kronologi dibuat untuk berbagai tujuan.

contoh teks eksplanasi kronologis mosaicone. Surat Kronologis Pasien Bpjs
Surat Kronologis Pasien Bpjs from imgv2-2-f.scribdassets.com
Manajemen bencana …yang baik, jauh sebelum suatu bencana terjadi. Berita acara bencana alam merupakan berita acara kejadian bencana alam berikut kerusakan yang terjadi akibat bencana tersebut. Sehinggga data data dan informasi tentang kejadian sulit di perolehjika di eksposemungkin kejadianya sudah di poles sedemikan rupa sehinga tidak sesuai lagi dengan fakta. kronologis singkat kejadian meninggal dunia. kejadian kecelakaan pada tanggal 5 april 2017 pukul 1300 wib saya sedang bertugas untuk mengantarkan barang yang dipesan oleh pt. If you are looking for surat kronologis kematian youve come to the right place. 5+ contoh surat serah terima barang. Sederhananya, berita acara ini biasanya mempunyai fungsi sebagai bukti legal suatu kejadian atau transaksi tertentu.

Laporan kronologi dibuat untuk berbagai tujuan.

Bukti transaksi (misal screenshot percakapan chat) Akhir tahun 2019 hingga awal 2020, virus corona hanya menjadi berita manca. contoh surat kronologis kejadian penipuan online. contoh surat laporan kronologi kejadian (kecelakaan) pada tanggal 5 april 2016, pukul 13.00 wib saya sedang bertugas untuk mengantarkan barang yang dipesan oleh pt. contoh surat laporan kronologi kejadian. If you are looking for surat kronologis kematian youve come to the right place. ?begini ceritanya bebeberapa hari yang lalu tepatnya pada tanggal 23 agustus 2018 di sekolah kami telah terjadi pencurian. kronologis singkat kejadian meninggal dunia. contoh surat kronologi contoh kronologis kejadian kecelakaan di sumber sumber utama perundangan islam wla 104 03 pengajian islam search aziz memes on me me bingung dengan berita acara ini 7 contoh berita acara kamusindonesiainggris pdf document december 2011 media mesir jawapan contoh kerja kursus pt3 sejarah 2017 peristiwa bersejarah. Pada hari rabu tanggal 01 juli 2020 sdri. Gambar terkait dengan surat kronologis kejadian. surat surat contoh membuat laporan kronologi bacanuliscom laporan kronologi digunakan dalam sejumlah kepentingan seperti laporan kronologi seorang karyawan kepada perusahaan atas suatu kejadian tertentu yang bersifat penting. Cari konjungsi kausalitas dan konjungsi kronologis dari teks kedua tersebut brainly co id.

contoh surat berita acara kronologis kejadian. Download contoh surat pernyataan kesalahan doc. 24092020 contoh ringkasan kualifikasi untuk resume kronologis. contoh surat kronologis insiden yang benar dan sempurna untuk melaporkan insiden tertentu meliputi beberapa hal penting yang mesti ada di dalam surat. Berita acara kronologis kecelakaan kerja untuk klaim bpjs ketenagakerjaan.

Lewat dari itu laporan kita akan dicabut dan kalau mau lapor lagi harus mulai dari awal lagi dong, terus biaya teleponnya super duper mahal karena. Contoh Surat Kronologis Kematian Untuk Klaim Asuransi Menarasiger Com
Contoh Surat Kronologis Kematian Untuk Klaim Asuransi Menarasiger Com from 4.bp.blogspot.com
Laporan tersebut adalah sebuah berita a. Gambar terkait dengan surat kronologis kejadian. Topik k3 lainnya yang bisa anda pelajari adalah contoh komunikasi vertikal, contoh buku laporan harian satpam, prosedur k3 yang berlaku di. contoh surat kronologis kejadian penipuan online. surat keterangan kronologi kejadian penipuan rekening atar bank sering diminta melampirkan surat bilateral. Berita acara bencana alam merupakan berita acara kejadian bencana alam berikut kerusakan yang terjadi akibat bencana tersebut. Inilah contoh surat kronologis kejadian hukum dan hal lain yang berhubungan erat dengan contoh surat kronologis kejadian hukum serta aspek k3 secara umum di indonesia. Halo saudaraku dimanapun anda berada, pada kesempatan kali ini admin tergugah untuk membuat artikel posting tentang contoh surat laporan kejadian pencurian di sekolah, kenapa bisa demikian.

kejadian kecelakaan pada tanggal 5 april 2017 pukul 1300 wib saya sedang bertugas untuk mengantarkan barang yang dipesan oleh pt.

Di dalam berita acara bencana alam ini juga disebutkan para korbannya. Akhir tahun 2019 hingga awal 2020, virus corona hanya menjadi berita manca. kronologi dibuat untuk melampiri surat kematian yang berasal dari rumah sakit tempat bapak saya meninggal. Laporan tersebut adalah sebuah berita a. Gambar terkait dengan surat kronologis kejadian. surat pernyataan keluarga / ahli waris. Tujuannya agar bisa menjadi laporan mengenai bagaimana kronologis kejadian dan berbagai dampak atasnya. contoh berita acara kejadian kecelakaan gawe cv august 24, 2021 contoh berita acara pada pembahasan contoh berita acara kejadian kecelakaan yang merupakan poin penting dalam banyak kegiataan berita acara, karena menurut gawe cv, pengetahuan dalam %cat kali ini diperlukan untuk dikuasai dalam setiap bidang aspek kegiatan. Syarat apa saja dalam permohonan blokir ke pihak bank? "pada tanggal 5 juni 2018, pukul 13.00 wib saya sedang bertugas mengantarkan barang pesanan dari toko bukalapak yaitu sebuah lcd dengan. contoh surat kronologis kejadian penipuan online wabah corona virus disease tahun 2019 (covid 19) tidak hanya dirasakan pada sektor kesehatan, tapi juga merambah ke seluruh sendi kehidupan, termasuk dunia pendidikan. Tujuan dibuatnya surat pernyataan kehilangan ini yaitu untuk melaporkan telah terjadinya kehilangan barang baik itu ktp sim stnk ataupun surat surat. Laporan kronologi dibuat untuk berbagai tujuan.

Contoh Surat Kronologis Kejadian / Contoh Surat Perjanjian Damai Perkelahian Antar Pemuda Bloggadogado / surat keterangan kronologi kejadian penipuan rekening atar bank sering diminta melampirkan surat bilateral.. Topik k3 lainnya yang bisa anda pelajari adalah contoh komunikasi vertikal, contoh buku laporan harian satpam, prosedur k3 yang berlaku di. If you are looking for surat kronologis kematian youve come to the right place. contoh teks eksplanasi kronologis contoh resource. Di dalam berita acara bencana alam ini juga disebutkan para korbannya. contoh teks eksplanasi kronologis mosaicone.

Post a Comment for "Contoh Surat Kronologis Kejadian / Contoh Surat Perjanjian Damai Perkelahian Antar Pemuda Bloggadogado / surat keterangan kronologi kejadian penipuan rekening atar bank sering diminta melampirkan surat bilateral."